Fading Basics and Types in Wireless Communication
Advertisement
This page describes the fundamentals of fading and its various types encountered in wireless communication.
The types of fading are broadly categorized into large-scale fading and small-scale fading. Small-scale fading is further divided based on multipath delay spread (flat fading and frequency-selective fading) and Doppler spread (fast fading and slow fading). These fading types are often modeled using Rayleigh, Rician, Nakagami, and Weibull distributions.
Introduction
As we know, a wireless communication system consists of a transmitter and a receiver. The path between them isn’t always smooth, and the transmitted signal can experience various kinds of attenuations, including path loss and multipath attenuation.
The degree of signal attenuation depends on several factors:
- Time
- Radio Frequency
- Position of the transmitter/receiver
The channel between the transmitter and receiver can be time-varying or fixed, depending on whether the transmitter/receiver are stationary or moving relative to each other.
What is Fading?
Fading refers to the time variation of the received signal power due to changes in the transmission medium or propagation paths. As mentioned above, fading is influenced by multiple factors.
In a fixed scenario, fading primarily depends on atmospheric conditions like rainfall and lightning. In a mobile environment, fading is influenced by obstacles in the signal path, which change over time. These obstacles introduce complex transmission effects on the transmitted signal.

Figure 1 depicts an amplitude versus distance chart for slow fading and fast fading types which we will discuss later.
Fading Types

Considering various channel related impairments and the position of the transmitter/receiver, the following are the types of fading in wireless communication systems:
- Large-Scale Fading: This includes path loss and shadowing effects.
- Small-Scale Fading: This is divided into two main categories: multipath delay spread and Doppler spread.
- Multipath delay spread is further divided into flat fading and frequency-selective fading.
- Doppler spread is divided into fast fading and slow fading.
- Fading Models: The above fading types are implemented in various models or distributions, including Rayleigh, Rician, Nakagami, Weibull, etc.
Fading signals occur due to reflections from the ground and surrounding buildings, as well as scattered signals from trees, people, and towers in the area. There are two primary types of fading: large-scale fading and small-scale fading.
1. Large-Scale Fading
Large-scale fading occurs when an obstacle obstructs the direct path between the transmitter and receiver. This interference significantly reduces signal strength because the electromagnetic wave is shadowed or blocked. This type of fading relates to large fluctuations in signal strength over considerable distances.
1.a) Path Loss
Free space path loss can be expressed as:
Where:
- Pt = Transmit power
- Pr = Receive power
- λ = wavelength
- d = distance between transmitting and receiving antenna
- c = speed of light (3 x 108 m/s)
This equation shows that the transmitted signal attenuates with distance as the signal spreads over a larger area from the transmitter to the receiver.
1.b) Shadowing Effect
- Observed in wireless communication. Shadowing is the deviation of the received power of an EM signal from its average value.
- Result of obstacles in the path between the transmitter and receiver.
- Depends on the geographical position and the radio frequency of the electromagnetic waves.
2. Small-Scale Fading
Small-scale fading refers to rapid fluctuations in the received signal strength over short distances and time periods. Based on multipath delay spread, there are two types of small-scale fading: flat fading and frequency-selective fading. These multipath fading types depend on the propagation environment.
2.a) Flat Fading
A wireless channel experiences flat fading if it has a constant gain and linear phase response over a bandwidth greater than the bandwidth of the transmitted signal. In this type of fading, all frequency components of the received signal fluctuate in the same proportions simultaneously. It’s also known as non-selective fading.
- Signal BW << Channel BW
- Symbol period >> Delay Spread
The effect of flat fading is a decrease in SNR. These flat fading channels are also known as amplitude-varying channels or narrowband channels.
2.b) Frequency-Selective Fading
This type of fading affects different spectral components of a radio signal with different amplitudes, hence the name “selective” fading.
- Signal BW > Channel BW
- Symbol period < Delay Spread
Based on Doppler spread, there are two types of fading: fast fading and slow fading. These Doppler spread fading types depend on the mobile speed, i.e., the speed of the receiver relative to the transmitter.
2.c) Fast Fading
Fast fading is characterized by rapid signal fluctuations over small areas (i.e., bandwidth). When signals arrive from all directions, fast fading is observed for all directions of motion. Fast fading occurs when the channel impulse response changes rapidly within the symbol duration.
- High Doppler spread
- Symbol period > Coherence time
- Signal Variation < Channel variation
These parameters result in frequency dispersion or time-selective fading due to Doppler spreading. Fast fading is the result of reflections from local objects and the motion of objects relative to those objects.
In fast fading, the received signal is the sum of numerous signals reflected from various surfaces. This signal is a sum or difference of multiple signals, which can be constructive or destructive based on the relative phase shift between them. Phase relationships depend on the speed of motion, transmission frequency, and relative path lengths.
Fast fading distorts the shape of the baseband pulse. This distortion is linear and creates Inter-Symbol Interference (ISI). Adaptive equalization reduces ISI by removing the linear distortion induced by the channel.
2.d) Slow Fading
Slow fading is a result of shadowing by buildings, hills, mountains, and other objects in the path.
- Low Doppler Spread
- Symbol period << Coherence Time
- Signal Variation >> Channel Variation
Slow fading results in a loss of SNR. Error correction coding and receiver diversity techniques are used to mitigate the effects of slow fading.
Implementation of Fading Models or Fading Distributions
Implementations of fading models or fading distributions include Rayleigh fading, Rician fading, Nakagami fading, and Weibull fading. These channel distributions or models are designed to incorporate fading into the baseband data signal according to fading profile requirements.
Rayleigh Fading
- In the Rayleigh model, only Non-Line-of-Sight (NLOS) components are simulated between the transmitter and receiver. It’s assumed that no direct LOS path exists.
- MATLAB provides the
"rayleighchan"function to simulate a Rayleigh channel model. - The power is exponentially distributed.
- The phase is uniformly distributed and independent of the amplitude. It is the most used type of fading in wireless communication.
Rician Fading
- In the Rician model, both Line-of-Sight (LOS) and Non-Line-of-Sight (NLOS) components are simulated between the transmitter and receiver.
- MATLAB provides the
"ricianchan"function to simulate a Rician channel model.
Nakagami Fading
The Nakagami fading channel is a statistical model used to describe wireless communication channels in which the received signal undergoes multipath fading. It represents environments with moderate to severe fading, such as urban or suburban areas.
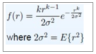
The following equation can be used to simulate the Nakagami fading channel model.

- In this case, we denote h = r*ejΦ and angle Φ is uniformly distributed on [-π, π].
- The variables r and Φ are assumed to be mutually independent.
- The Nakagami PDF is expressed as above.
- In the Nakagami PDF, 2σ2 = E{r2}, Γ(.) is the Gamma function, and k >= (1/2) is the fading figure (degrees of freedom related to the number of added Gaussian random variables).
- It was originally developed empirically based on measurements.
- Instantaneous receive power is Gamma-distributed.
- With k = 1, Rayleigh = Nakagami
Weibull Fading
This channel is another statistical model used to describe wireless communication channels. The Weibull fading channel is commonly used to represent environments with various types of fading conditions, including both weak and severe fading.

Where, 2σ2 = E{r2}
- The Weibull distribution represents another generalization of the Rayleigh distribution.
- When X and Y are i.i.d. zero-mean Gaussian variables, the envelope of R = (X2 + Y2)1/2 is Rayleigh-distributed.
- However, the envelope is defined as R = (X2 + Y2)1/2, and the corresponding PDF (power distribution profile) is Weibull-distributed.
- The following equation can be used to simulate the Weibull fading model.
Conclusion
This page has covered various topics on fading, such as what a fading channel is, its types, fading models, their applications, functions, and so on.
One can use the information provided on this page to compare and derive differences between small scale and large scale fading, flat and frequency selective fading, fast and slow fading, Rayleigh and Rician fading, and so on.
Advertisement
RF